酷游九州(中国)机器人有限公司官网

MENU
  • 首 页
  • 关于我们
    酷游九州概况 新闻公告 企业文化
    技术服务 机器人成果荟 产业集群 解决方案 教育培训
    实验室 标准查询 技术分享 订阅服务 活动报名
  • 技术服务整体解决方案
    酷游九州概况 新闻公告 企业文化
    技术服务 机器人成果荟 产业集群 解决方案 教育培训
    实验室 标准查询 技术分享 订阅服务 活动报名
  • 开放共享
    酷游九州概况 新闻公告 企业文化
    技术服务 机器人成果荟 产业集群 解决方案 教育培训
    实验室 标准查询 技术分享 订阅服务 活动报名
  • 关于我们
    研发与转化平台 标准服务平台 行业服务平台 检测认证平台
  • 技术服务整体解决方案
    技术服务 机器人成果荟 产业集群 解决方案 教育培训
  • 开放共享
    实验室 标准查询 技术分享 订阅服务 活动报名
  • 联系我们
    联系方式 电子地图 留言反馈
触达前沿智能机器人世界
  • 视频中心
  • 新闻中心
首页 > 新闻中心 >

正文

寿命加速之阿伦尼乌斯模型

时间:2018-10-09 16:20:00 来源:酷游九州(中国)机器人有限公司官网 作者:小R

但凡需要做产品寿命加速时,阿伦尼乌斯模型是各位可靠性工程师、设计工程师等最常用的加速模型。阿伦尼乌斯模型是瑞典化学家阿伦尼乌斯于1889年在大量的化学反应数据基础上总结出来的,它表明在化学反应过程中反应速率与反应温度的关系。在一定范围内,温度越大,反应速率越高。今天,一起来聊聊这个模型的前世今生,以及如何运用该模型进行寿命加速。

 

▍阿伦尼乌斯其人


阿伦尼乌斯

 

阿伦尼乌斯,全名:阿伦尼乌斯·斯万特·奥古斯特。瑞典物理化学家,1859年2月19日生于乌普萨拉,1927年10月2日卒于斯德哥尔摩。17岁时入乌普萨拉大学,主修化学,1878年毕业后留校。

 

阿伦尼乌斯的最大贡献是1887年提出电离学说:电解质是溶于水中能形成导电溶液的物质;这些物质在水溶液中时,一部分分子离解成离子;溶液越稀,离解度就越大。

 

这一学说是物理化学发展初期的重大发现,对溶液性质的解释起过重要的作用。它是物理和化学之间的一座桥梁(见阿伦尼乌斯电离理论)。但是这一理论当初根本不被行业精英和大牛说接受,搞得他差点博士毕不了业。但是,对我们来说,他的最大贡献是,1889年提出活化分子和活化热概念,导出化学反应速率公式(阿伦尼乌斯方程)。

 

▍阿伦尼乌斯模型


“阿伦尼乌斯模型公式” 



注意:阿伦尼乌斯模型有两个假设:

 

(1)样品的某个参数θ的退化量D=f(θ)是时间的线性函数。

 

这个假设说明,对于元器件的某个参量,如果通过某些变换能使其随时间变化的规律符合假设的要求,那就可以应用阿伦尼乌斯模型来描述其寿命过程。

 

(2)退化率R(T)的对数是绝对位温度倒数的线性函数,否则就不是真实的加速。

 

因此,对于两个不同温度应力(T1,T2)下的加速系数计算模型,就可以表达为:

 

 

从公式中可以看出,激活能越大,加速系数也越大,越容易被加速失效,加速试验效果越明显。如果,在激活能确定的情况下,温度差越大,加速系数也越大。但是,这里要特别注意,执行加速测试的前提时,增加应力产生相同的失效模式,如果加速应力超出产品、材料本身的极限温度范围,可以产生的新的失效模式,那么加速试验得到的加速系数也就没有意义了。

 

 

那么问题来了,很多人不知道活化能Ea应该选取那个值?其实不同的Ea对应了不同的失效机理,下面表格是一些电子元器件在经验累积得到推荐值。

 


但是我们在做产品温度加速时,一般是针对整系统,那么Ea应该如何选取。通常情况下,根据经验Ea可选取0.5~0.7eV.比如戴尔电脑对PC的Ea选取0.6eV,这个值也是多次试验的出来的平均值。这个Ea选取主要针对但应力加速时,如果有2个应力以上,则无需考虑,可以通过试验结果计算出来。

 

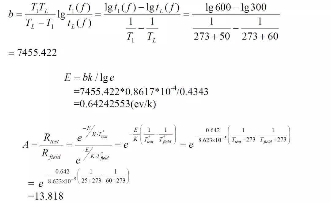
例如,某个电子产品在高温下某项性能会随时间退化,测试安排在50°C和60°C下进行。测量结果如下面表格所示:

 

 

 

 

 

根据公式计算结果如下:

 

 

由此可见,60°C相对于25°C的加速系数为13.82,该失效模式下的Ea为0.642eV.


▍结语

 

我们注意到,阿伦尼乌斯模型中只考虑了温度应力对物质的化学与物理变化的影响。实际上,很多的产品失效,除了温度之外,还与此时很多非温度应力因素有关,如电压、湿度、机械应力等。这就使得阿伦尼乌斯模式的应用受到了限制。随着量子力学理论的发展,既考虑了温度应力,又考虑了各种非温度应力的艾林模型因此产生。

 

▍参考资料:

 

1、电子元器件可靠性试验工程

 

2、百度百科

 

3、可靠性工程数学

上一条:机器人功能型平台受邀参加可靠性工程师协会(SRE)上海分会201807期沙龙
下一条:机器人功能型平台受邀参加《人工智能与新零售》专题讲座
返回列表

推荐新闻

  1. 上研院与睿尔曼牵手共同打造具身智能高质量标准化数据集训练场

    2025-08-19
  2. 第一届上海市机器人等数字技术专业职称申报政策宣讲会顺利召开

    2025-08-14
  3. 云上鏖战,智造未来——第十届 “创客中国”智能机器人中小企业创新创业大赛半决赛圆满收官,48强团队晋级总决赛!

    2025-08-13
  4. 国家标准《工业机器人静电安全规范》等三项标准工作启动

    2025-05-07
  5. 关于征集第十届“创客中国”智能机器人中小企业创新创业大赛评委的通知

    2025-04-29
  6. 共探高质量、发布新成果——2025人形机器人产业高质量发展论坛顺利召开

    2025-04-27
  7. 镇江市党政代表团一行赴机器人酷游九州考察

    2025-04-25
  8. 定立场,测关节,论数据-全国人形机器人检测认证工作组2025年第二次会议于深圳顺利召开

    2025-04-25
  9. 我院承办的第十届“创客中国”智能机器人中小企业创新创业大赛新闻发布会顺利召开

    2025-04-18
  10. 福州人形机器人训练场启动并接入国家级测评平台

    2025-04-15
  11. 安全性能国际接轨启新章——工业机器人CR认证新规研讨于沪召开

    2025-04-15
  12. 政企携手谋新篇---上电科领导西南行暨卡诺普机器人全系列产品CR认证签约仪式在蓉举行

    2025-03-12
  13. 市科委主任骆大进调研机器人酷游九州:肯定成绩,寄予厚望

    2025-03-10
  14. 行业观察丨马斯克:Optimus人形机器人或将超越特斯拉汽车业务

    2025-08-06
  15. ABB全系列机器人CR认证战略合作签约

    2025-02-25
  16. KUKA机器人再添新认证

    2025-01-27
  17. 国评中心与京沪两地人形机器人共建创新中心共同举办人形机器人产业发展论坛

    2024-11-20
  18. 人形机器人检测认证工作组正式成立

    2024-11-22
  19. 守安全底线、 保本体可靠、促智能发展,全国人形机器人检测认证工作组会议顺利召开

    2025-02-27
  20. 我院专家获得"机器人"领域国际电工标准化1906奖

    2024-10-14
  21. 国评中心(总部)为安川颁发机器人洁净级认证证书!

    2024-09-25
  22. JAKA拿下协作机器人全系列CR认证“001”证书

    2024-09-19
  23. KUKA全系列机器人获得CR认证

    2024-09-14
  24. 2024世界机器人大会机器人行业规范检测与技术分论坛在京圆满举行

    2024-08-25
  25. 国评中心(总部)北京测评中心正式揭牌!

    2024-08-24
  26. 首届智能机器人分级分类评价创新论坛在上海召开

    2024-07-05
  27. 上海成立机器人概念验证中心

    2024-06-25
  28. 【研发成果】轻量化、模块化、智能化的移动机器人面市!

    2024-06-20
  29. 机器人赛道逐渐拓宽,人形机器人正当时?

    2024-07-01
  30. 【祝贺】艾利特CS系列协作机器人通过100000小时MTBF测评!

    2024-01-03
  31. 协作无界,“加”速未来—2023首届中国(盐城)机器人+新能源产业发展大会在盐城顺利召开

    2023-12-25
  • 关于我们
    酷游九州概况 新闻公告 企业文化
  • 技术服务整体解决方案
    技术服务 机器人成果荟 产业集群 解决方案 教育培训
  • 开放共享
    实验室 标准查询 技术分享 订阅服务 活动报名
  • 人才管理
    用人理念 职业发展 员工风采 人才招聘
  • 联系我们
    联系方式 电子地图 留言反馈
  1. 官方微信视频号

  2. 官方微信公众号

电话:

021-62222910

地址:上海市普陀区曹杨路800号18号楼

版权所有©2001-2021 酷游九州(中国)机器人有限公司官网 沪ICP备18037447号-2 沪公网安备 31010702006397号网站地图

  • 首页
  • 关于我们
  • 技术服务整体解决方案
  • 开放共享
  • 人才管理
  • 联系我们